氨基三亞甲基膦酸鈉 ATMP•Na4
Tetra sodium salt of Amino Trimethylene Phosphonic Acid (ATMP•Na4)
CAS No. 20592-85-2
分子式
C3H8NO9P3Na4
相對分子質量:387
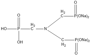
結構式

一、性能與用途:
ATMP•Na4是ATMP的中性鈉鹽,可阻止水中成垢鹽類形成水垢,特別是碳酸鈣垢的形成。
ATMP•Na4適用于火力發電廠、煉油廠的循環冷卻水、油田回注水系統,反滲透膜的阻垢劑。ATMP•Na4對于其他一些添加劑也有很好的相容性。ATMP•Na4特別適用于中性到酸性配方中,無氨味產生。
二、技術指標
| 項 目 |
指 標 |
HG/T 4328-2012 |
| 外 觀 |
無色或淡黃色透明液體 |
| 活性組分(以ATMP計)/% |
≥30.0 |
| 活性組分(以ATMP·Na4計)/% |
≥38.8 |
| pH值(1%水溶液) |
6.0-8.0 |
| 密度(20℃)/g·cm-3 |
1.35~1.45 |
| Fe含量(以Fe計) /mg·L-1 |
≤10.0 |
| 氯化物 (以Cl-計) /% |
≤1.0 |
三、使用方法
ATMP•Na4與其它有機膦酸、聚羧酸或聚羧酸鹽等復配成有機堿性水處理劑,用于各種不同水質條件的循環冷卻水系統。
四、包裝與貯存
ATMP•Na4用塑料桶包裝,每桶30Kg 或250Kg,也可根據用戶需要確定。ATMP•Na4貯于室內陰涼處,貯存期十個月。
五、安全防護
ATMP•Na4為中性,操作時注意勞動保護,應避免與皮膚、眼睛等接觸,接觸后用大量清水沖洗。